Highly-purified Synthetic Phospholipids
Highly-purified Synthetic Phospholipids
We use fatty acids that are highly purified by our own technologies for the manufacture of a variety of phospholipid derivatives; that is, NOF can synthesize derivatives containing a variety of fatty acids. Our phospholipids are manufactured in FDA-inspected facilities meeting GMP standards. Our quality-assured products can be safely used for the production of pharmaceuticals.
NOF as a contracted manufacturer also synthesizes novel phospholipid derivatives and has completed DMF registrations for numerous novel derivatives; we are in a position to supply relevant lipids from test reagent grade to commercial production scales that are approved for manufacture of pharmaceuticals after clinical studies.
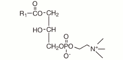
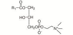
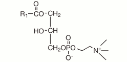
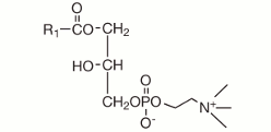
Phosphatidylcholine
Phospholipids are the primary constituents of biological membranes. Recently, phospholipids have been directly implicated in the important biological functions as well as biomembrane structure. Sphingomyelin in particular was found to be vital for formation and maintenance of lipid rafts, where immune responses, various kinds of signaling, and certain material transport take place. Sphingomyelin is thus involved in expression of specific cellular functions, such as intracellular information transmission and maintenance of membrane structure. Sphingomyelin, with long fatty acid chains and low phase transition temperatures (Tc), is easy to prepare into liposomes. Highly pure sphingomyelin of either the milk or yolk origin is available from NOF.
Sphingomyelin from yolk has fatty acid chains consisting of about 80% palmitic acid joined by amide bonds, while that from milk contains many kinds of fatty acids whose chains are longer than palmitic acid. These two sphingomyelin products slightly differ in physical properties, and can be selected according to needs.
Phosphatidylcholine
Lyso-Phosphatidylcholine
Lyso-Phosphatidylcholine
Phosphatidylglycerol
Phosphatidylglycerol
Phosphatidic acid
Phosphatidic acid
Phosphatidylethanolamine
Phosphatidylethanolamine
Phosphatidylserine
Phosphatidylserine
Activated phospholipids
Activated phospholipids include both maleimide groups reactive with -SH groups in biologics, and activated carboxylic esters which react with -NH2 and -SH groups in proteins.
MAL-Phospholipid
NHS-Phospholipid
Glu-Phospholipid
PDP-Phospholipid





















































