BAM
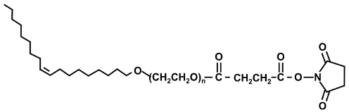
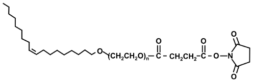
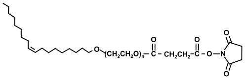
SUNBRIGHT® OE Series
Biocompatible PEG Anchors for Cell Membrane Insertion [BAM]
NOF supplies a unique Biocompatible Anchor for cell Membranes (BAM), without eliciting ovservable cell damage. BAM contains both oleyl groups as a hydrophobic cell membrane anchor and polyethylene glycol (PEG), which imparts hydrophilicity, Its chemical structure is designed to have various reactive groups at the PEG terminals allowing them to attach to physiologically active substances or surfaces of materials. Employment of BAM enables researchers to modify the surfaces of cells and tissues with physiologically active substances, such as proteins or drugs without injuring cells and tissues, and also to immobilize live cells and tissues on the surfaces of various kinds of materials. Since BAM exerts excellent cell interfacing functions beyond conventional concepts, it can be extensively used in pharmaceuticals and cosmetics.
Application 1
Application 2
SUNBRIGHT® OE Series (Biocompatible PEG Anchors)
SUNBRIGHT® OE Series (Biocompatible PEG Anchors)



