Multi-Arm PEGs
Multi-Arm PEGs
We supply various derivatives in which varied functional groups are attached to the terminals of multi-arm (4-arm and 8-arm) PEGs. Multi-arm PEGs can be used not only as the starting materials for hydrogels, but also as modifiers to improve the solubility of hydrophobic drugs.
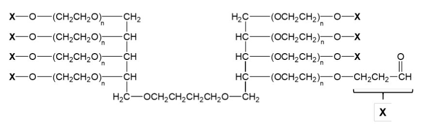
4-arm-Functional PEG Series
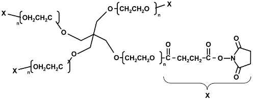
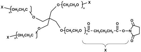
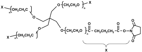
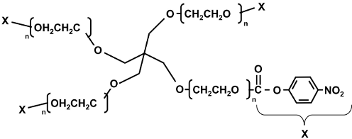
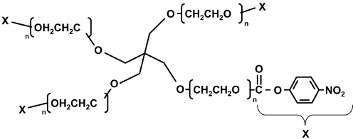
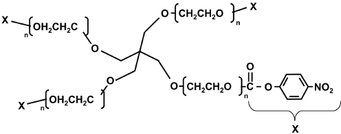
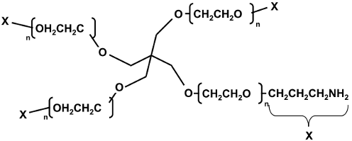
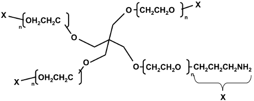
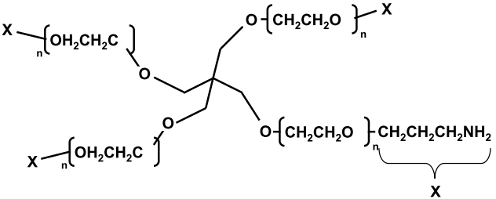
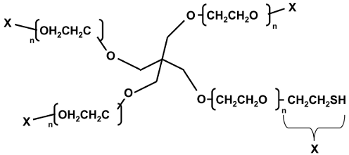
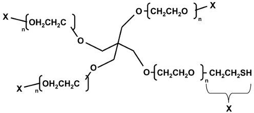
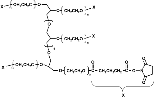
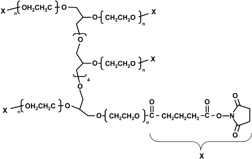
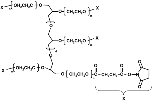
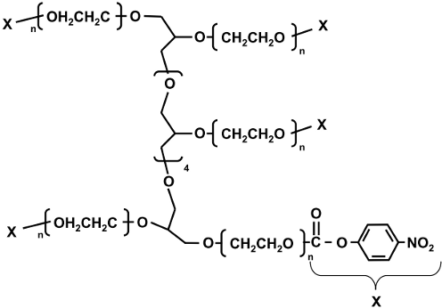
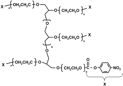
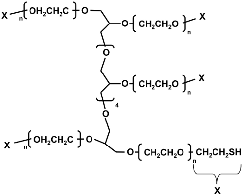
SUNBRIGHT® PTE Series
(Pentaerythritol, tetra-polyethylene glycol ether)
NHS PEG
p-Nitrophenyl Carbonate PEG
Amine PEG
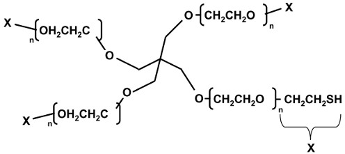
Thiol PEG
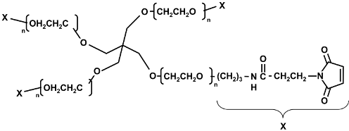
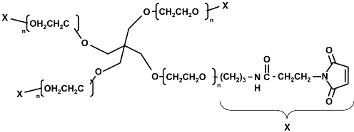
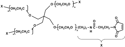
Maleimide PEG
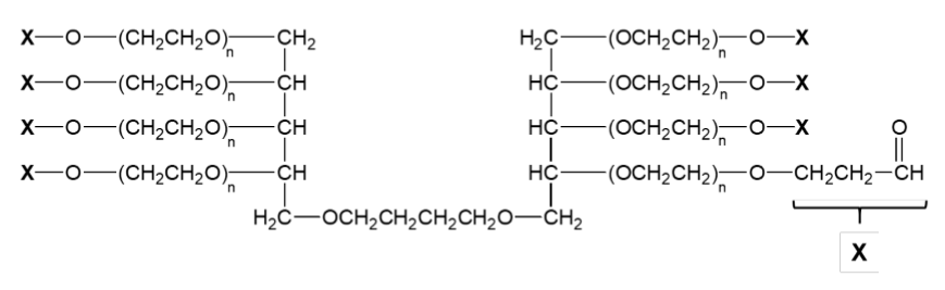
8-arm-Functional PEG Series
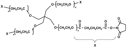
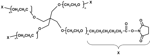
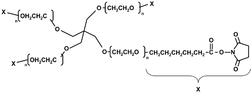
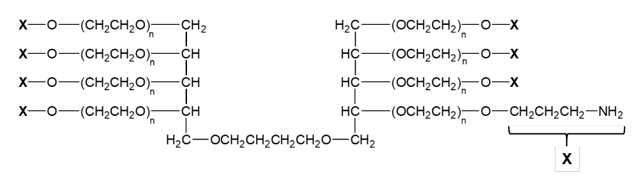
SUNBRIGHT® HGEO Series
(Hexa-glycerine, octa-polyethylene glycol ether)
NHS PEG
p-Nitrophenyl Carbonate PEG
Amine PEG
Thiol PEG
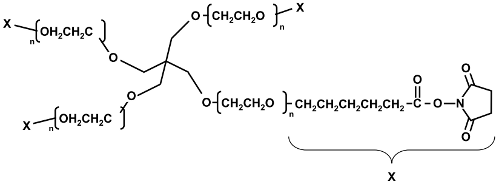
New 8-arm Functional PEG
New 8-arm Functional PEG
SUNBRIGHT® DX Series































