Heterofunctional PEGs
Heterofunctional PEGs
By using hetero type activated PEGs, different molecules can be conjugated onto the each end of the PEGs. They are also useful for surface modification and hydrogels.
SUNBRIGHT® Heterofunctional PEGs
Mercapto-PEG-Carboxylic acid
Mercapto-PEG-Amine, Hydrochloride salt
Boc-protected-Amino-PEG-Amine
Boc-protected-Amino-PEG-Carboxylic acid
9-Fluorenylmethyloxycarbonyl-protected-Amino-PEG-Carboxylic acid
Maleimide-PEG-Carboxylic acid
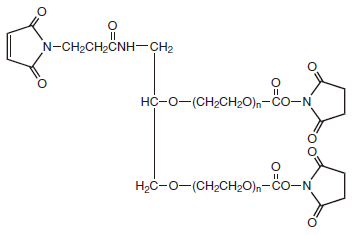
Maleimide-PEG-NHS ester/carbonate
Amino-PEG-Carboxylic Acid
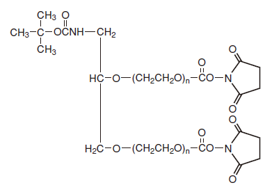
Boc-protected-Amino PEG-NHS carbonate
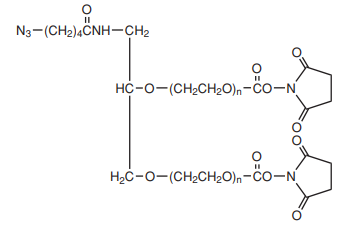
Azido-PEG-NHS ester/carbonate
Azido-PEG-Amine
Biotin-PEG-NHS ester/carbonate
Biotin-PEG-Maleimide





























