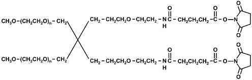
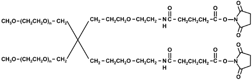
Forked PEGs
Forked PEGs
Forked structures have the advantage of placing two reactive groups at precise distance apart. These "Forked" PEG have become very popular for mimicking the heavy chain domain in an antibody or fragment antibody and other applications where two proteins in proximity are advantageous.
SUNBRIGHT® PTE2 Series
NHS PEG
Amine PEG
Maleimide PEG





